×
Ad

Persamaan Linear Dua Variabel: Metode Grafik, Substitusi, dan Eliminasi

Olivia - detikEdu
Selasa, 26 Okt 2021 12:30 WIB
Foto: Istimewa
Jakarta -

Detikers, tahukah kamu apa yang dimaksud dengan persamaan linear dua variabel? Persamaan linear dua variabel (SPLDV) adalah sebuah sistem yang terbentuk oleh persamaan linear yang melibatkan dua variabel.


Secara umum, persamaan linear dua variabel ditulis dengan bentuk ax + by = c. Sebagai keterangan, x dan y adalah variabel dengan pangkat satu, sedangkan a dan b adalah koefisien, dan c adalah konstanta.


Dalam kehidupan sehari-hari, sistem persamaan linear dua variabel bisa digunakan untuk menentukan harga barang, mencari keuntungan penjualan, dan lainnya.
Berdasarkan buku Ayo, Belajar Persamaan, Pertidaksamaan, dan Sistem Persamaan Linear! karya Mirna Indrianti, ada tiga cara yang biasa digunakan untuk menyelesaikan permasalahan persamaan linear dua variabel, yaitu menggunakan metode grafik, substitusi, dan eliminasi.


Metode Grafik

Metode ini menyelesaikan masalah dengan menentukan titik perpotongan dua garis lurus yang merupakan tampilan dari kedua persamaan linear dua variabel.
Berikut ini adalah langkah-langkah penyelesaian SPLDV dengan metode grafik:
1. Tentukan titik potong salah satu persamaan linear dengan sumbu X atau sumbu Y.
2. Hubungkan kedua titik potong dengan menggunakan garis lurus.
3. Lakukan langkah 1 dan 2 untuk persamaan lain pada SPLDV.
4. Jika kedua titik berpotongan di (x,y) = (x1, y1), penyelesaian SPLD adalah x=x1 dan y=y1.
5. Jika kedua titik tidak berpotongan, SPLDV tidak memiliki penyelesaian.

Contoh Soal
Tentukan penyelesaian dari sistem persamaan linear dua variabel berikut menggunakan metode grafik.


Penyelesaian


Tentukan titik perpotongan tiap-tiap persamaan terhadap sumbu X dan Y.


Untuk 4x + 5y = 40

Titik perpotongan terhadap sumbu X (y=0)
= 4x + 5(0) = 40
= 4x + 0 = 40
=x = 40/4 = 10
Jadi, garis berpotongan dengan sumbu X di (10,0)

Titik perpotongan terhadap sumbu Y (x=0)

= 4(0) + 5y = 40
= 0 + 5y = 40
=y= 40/5= 8

Jadi, garis berpotongan dengan sumbu Y di (0,8)


Untuk x + 2y = 14
• Titik perpotongan terhadap sumbu X (y=0)
= x + 2(0) = 14
= x + 0 = 14
= x = 14
Jadi, garis berpotongan dengan sumbu X di (14,0)


• Titik perpotongan dengan sumbu Y (x=0)
= 0 + 2y =14
= 2y = 14
= y = 14/2 = 7
Jadi, garis berpotongan terhadap sumbu Y di (0,7)


2. Gambarkan tiap-tiap persamaan dalam sebuah koordinat Kartesius.
3. Jika sudah Digambar, kamu akan mendapat perpotongan di titik (x,y) = (2,6)

Metode Substitusi


Cara selanjutnya adalah metode substitusi. Penyelesaian dengan metode ini adalah dengan memasukkan salah satu variabel ke variabel lain.


Contoh Soal
Selesaikan SPLDV di bawah ini menggunakan metode substitusi.

Penyelesaian


1. Beri tanda persamaan

1) pada persamaan linear yang terletak di atas dan 2) pada persamaan linear bagian bawah.


2. Cari persamaan baru dengan cara mengubah persamaan linear 2). Kurangkan persamaan linear 2) dengan 5x
= 5x - 5x + y = -11 - 5x
= y = -11 - 5x


3. Substitusikan persamaan y = -11 -5x di atas ke dalam persamaan 1)
= 4x + 3y = -11
= 4x + 3(-11 - 5x) = -11
= 4x -33 - 15x = -11
= -11x - 33 = -11


4. Tambahkan kedua ruas dengan 33 untuk mendapatkan nilai variabel x
= -11x - 33 + 33 = -11 + 33
= -11x = 22
= x = 22/(-11) = -2


5. Setelah mendapatkan satu nilai variabel, substitusikan ke dalam persamaan 2)
= 5x + y = -11
= 5(-2) + y = -11
= -10 + y = -11
= y = -11 +10
= y = -1


Jadi, penyelesaian SPLDV adalah x = -2 dan y = -1


Metode Eliminasi

Eliminasi berasal dari bahasa Inggris eliminate yang berarti menghapuskan. Artinya, dalam metode ini terdapat proses menghilangkan variabel tertentu untuk mendapatkan nilai dari variabel yang lain.


Contoh Soal
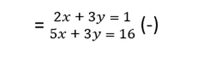
Selesaikan SPLDV berikut dengan metode eliminasi

Penyelesaian
Pilihlah salah satu variabel yang akan kamu tentukan nilainya. Jika ingin menentukan nilai variabel x, samakan koefisien variabel y dengan cara eliminasi.

= -3x + 0 = -15
= 3x = 15
= x = 15/3 = 5
Jadi, nilai x = 5

Kemudian, mencari nilai variabel y
Kalikan persamaan 2x + 3y = 1 dengan 5 dan persamaan 5x + 3y =16 dengan 2. Hasil perkalian tersebut menjadi persamaan baru seperti berikut.

Jadi, penyelesaiannya adalah x = 5, y = -3



Simak Video "Video: Penyebab Peserta TKA Kesulitan Mengerjakan soal Matematika"

(lus/lus)
Berita Terkait
Berita detikcom Lainnya
Berita Terpopuler

Video

Foto

detikNetwork